Pemprov Kalteng Umumkan Hasil Seleksi PPPK Formasi Guru Tahun 2023 Tingkat Provinsi, Ini Daftar Peserta yang Lulus dan Tidak Lulus!

PALANGKA RAYA, Kalteng.co -Sempat diperpanjangan dari jadwal semula pada tanggal 16 Desember 2023, pengumuman hasil seleksi Pegawai Pemerintah dengan Perjanjian Kerja (PPPK) tahun 2023 formasi Guru, akhirnya diumumkan pada hari Sabtu tanggal 23 Desember 2023.
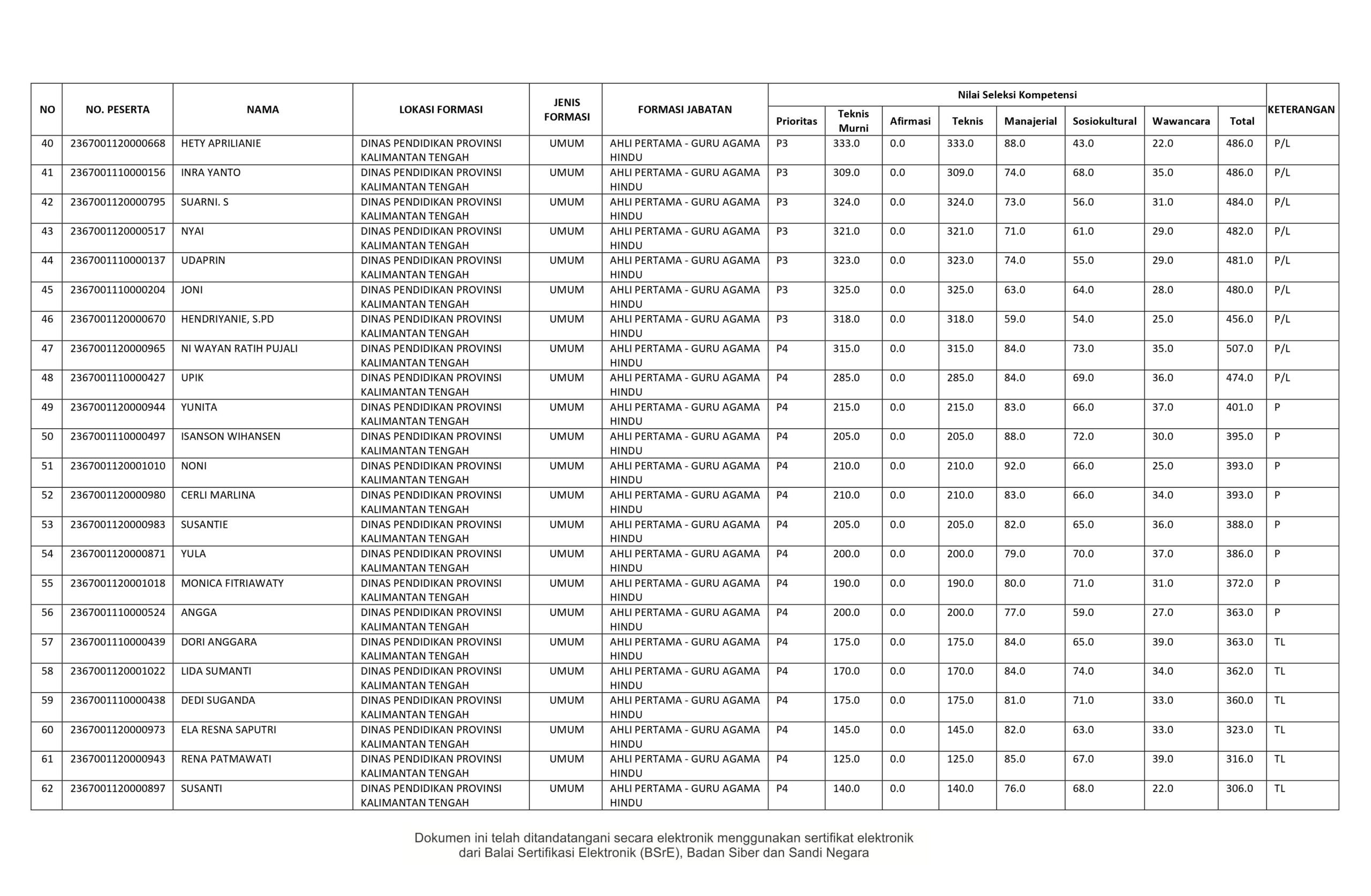
Berdasarkan Keputusan Sekretaris Daerah Provinsi Kalimantan Tengah Nomor : 800 / 713 / II.1 / BKD tentang tentang Penetapan Hasil Seleksi Kompetensi Penerimaan Pegawai Pemerintah Dengan Perjanjian Kerja (PPPK) Jabatan Fungsional Guru di Lingkungan Pemerintah Provinsi Kalimantan Tengah Tahun Anggaran 2023 bahwa peserta yang dinyatakan Lulus Seleksi Kompetensi adalah peserta dengan keterangan P/L dan P/L-2.
Berikut daftar lampiran peserta yang lulus dan tidak lulus seleksi formasi PPPK guru untuk wilayah Kalteng; HASIL SELEKSI KOMPETENSIPENERIMAAN PEGAWAI PEMERINTAH DENGAN PERJANJIAN KERJA (PPPK) JABATAN FUNGSIONAL GURU DI LINGKUNGAN PEMERINTAH PROVINSI KALIMANTAN TENGAH TAHUN ANGGARAN 2023








