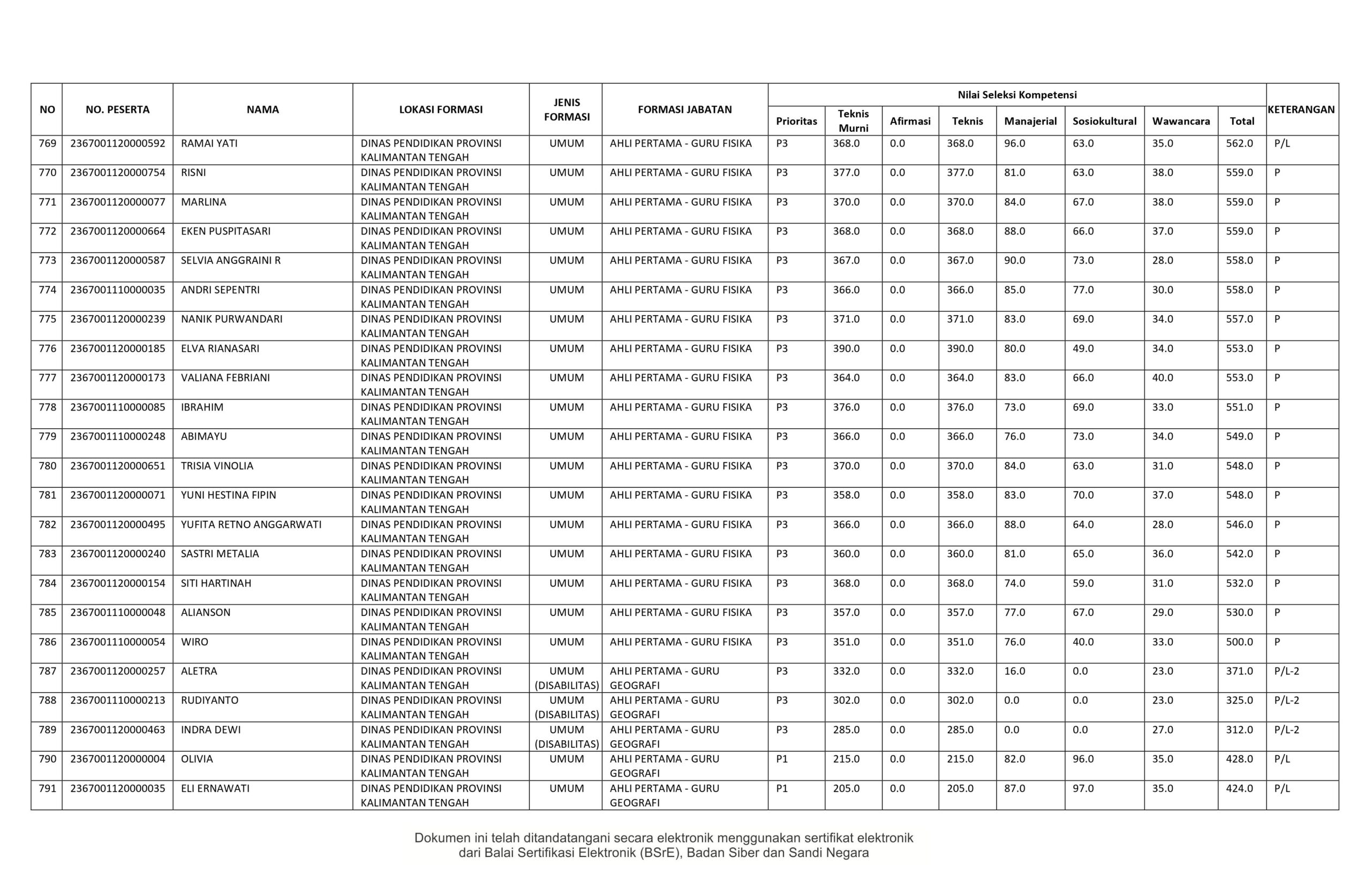
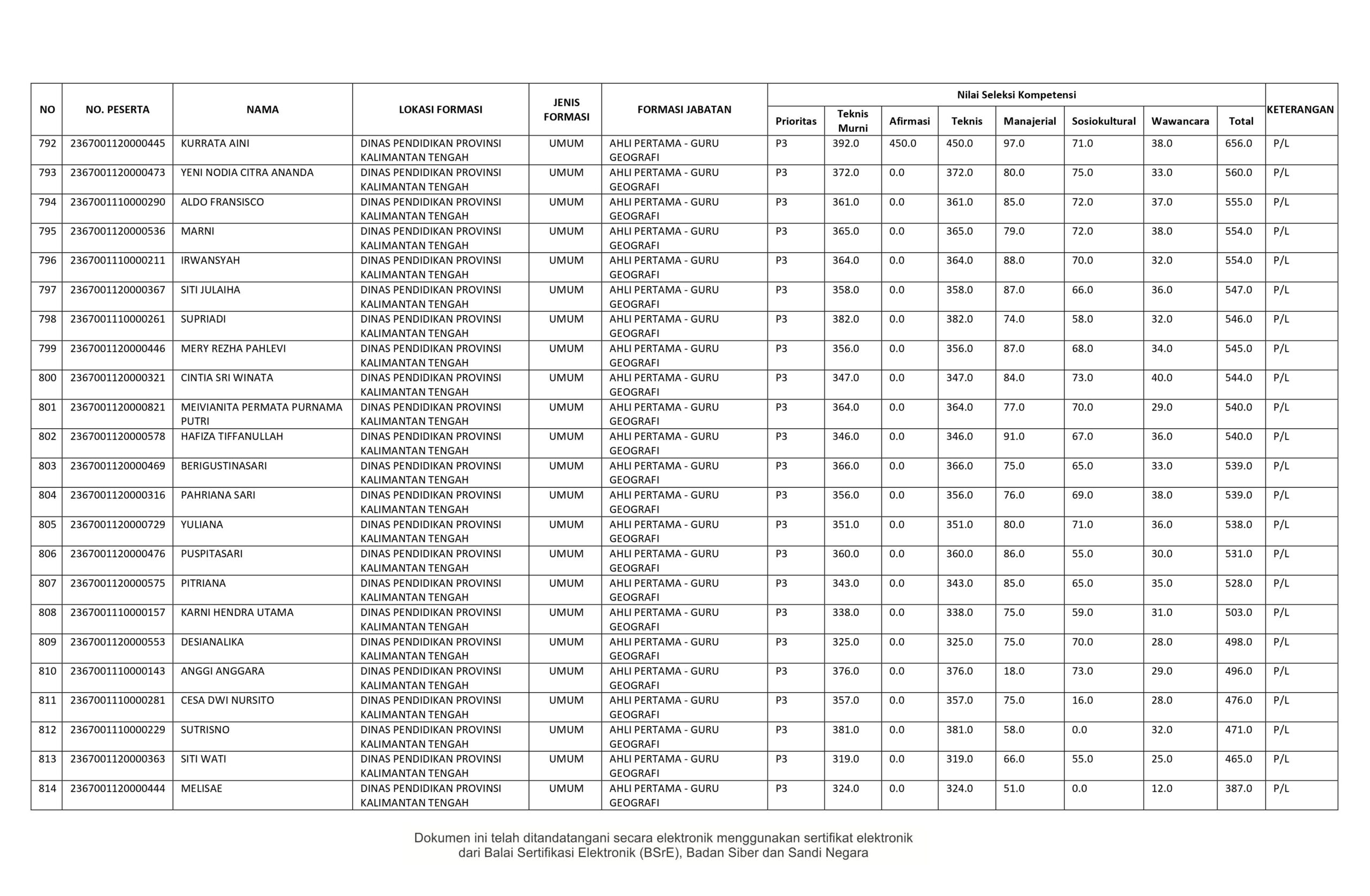
BeritaDISKOMINFO KALTENGDiskominfosantikDISKOMINFOSANTIK KALTENGHukum Dan KriminalPEMPROV KALIMANTAN TENGAHPENDIDIKANUtama
Pemprov Kalteng Umumkan Hasil Seleksi PPPK Formasi Guru Tahun 2023 Tingkat Provinsi, Ini Daftar Peserta yang Lulus dan Tidak Lulus!









